Aν

Είδα ότι το δεύτερο άθροισμα υπολογίζεται με μια μέθοδο γινομένων δυο σειρών που το γινόμενο των ορίων που συγκλίνουν είναι ίσο με το όριο της convolution αυτών...αλλά ήθελα να ξέρω μια γενική μέθοδο για να το βρίσκω.
Σημείωση στην άσκηση μου το

Απλά μου φαίνεται ότι μάλλον η στρατιγική θα είναι κοινή

αλλά εννοείς
.
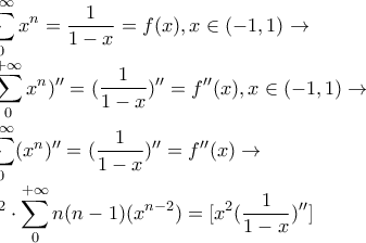
. Αρχίζεις με το
και το παραγωγίζεις δύο φορές. Μετά πολλαπλασιάζεις επί
.![\\\displaystyle\sum_{0}^{+\infty}x^{n}=\frac{1}{1-x}=f(x),x\in (-1,1)\to\\
\displaystyle(\sum_{0}^{+\infty}x^{n})^{\prime\prime}=(\frac{1}{1-x})^{\prime\prime}=f^{\prime\prime}(x),x\in (-1,1)\to\\
\displaystyle\sum_{0}^{+\infty}(x^{n})^{\prime\prime}=(\frac{1}{1-x})^{\prime\prime}=f^{\prime\prime}(x)\to\\
x^2\cdot\displaystyle\sum_{0}^{+\infty}n(n-1)(x^{n-2})=[x^2(\frac{1}{1-x})^{\prime\prime}] \\\displaystyle\sum_{0}^{+\infty}x^{n}=\frac{1}{1-x}=f(x),x\in (-1,1)\to\\
\displaystyle(\sum_{0}^{+\infty}x^{n})^{\prime\prime}=(\frac{1}{1-x})^{\prime\prime}=f^{\prime\prime}(x),x\in (-1,1)\to\\
\displaystyle\sum_{0}^{+\infty}(x^{n})^{\prime\prime}=(\frac{1}{1-x})^{\prime\prime}=f^{\prime\prime}(x)\to\\
x^2\cdot\displaystyle\sum_{0}^{+\infty}n(n-1)(x^{n-2})=[x^2(\frac{1}{1-x})^{\prime\prime}]](/forum/ext/geomar/texintegr/latexrender/pictures/3d0f759a8aa2ca676b843670f754d863.png)
![\\\displaystyle
x^2\cdot\displaystyle\sum_{0}^{+\infty}n(n-1)(x^{n-2})=[x^2(\frac{1}{1-x})^{\prime\prime}]\right|_{x=\lambda} \\\displaystyle
x^2\cdot\displaystyle\sum_{0}^{+\infty}n(n-1)(x^{n-2})=[x^2(\frac{1}{1-x})^{\prime\prime}]\right|_{x=\lambda}](/forum/ext/geomar/texintegr/latexrender/pictures/e682245646da8a4eac9fb66ff361332d.png)
στην τελευταία γραμμή δεν έχει θέση (άλλωστε δεν έχει
στο αριστερό μέλος).