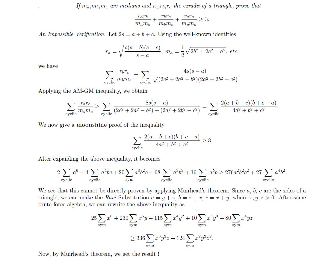
, όπου
διάμεσος της πλευράς α και
η ακτίνα του παρεγγεγραμμένου κύκλου της πλευράς a.Συντονιστές: emouroukos, vittasko, achilleas
, όπου
διάμεσος της πλευράς α και
η ακτίνα του παρεγγεγραμμένου κύκλου της πλευράς a.
.
,
.
Schur
ΑΜ-ΓΜΜέλη σε αυτήν τη Δ. Συζήτηση: Δεν υπάρχουν εγγεγραμμένα μέλη και 2 επισκέπτες